(Решено)Упр.11.2 ГДЗ Мерзляк 11 класс по алгебр...
(Решено)Упр.1.45 ГДЗ Мерзляк 11 класс по алгебр...
(Решено)Упр.14.11 ГДЗ Мерзляк 11 класс по алгеб...
(Решено)Упр.15.11 ГДЗ Мерзляк 11 класс по алгеб...
(Решено)Упр.11.11 ГДЗ Мерзляк 11 класс по алгеб...
(Решено)Упр.28.319 ГДЗ Мерзляк 11 класс по алге...
(Решено)Упр.27.13 ГДЗ Мерзляк 11 класс по алгеб...
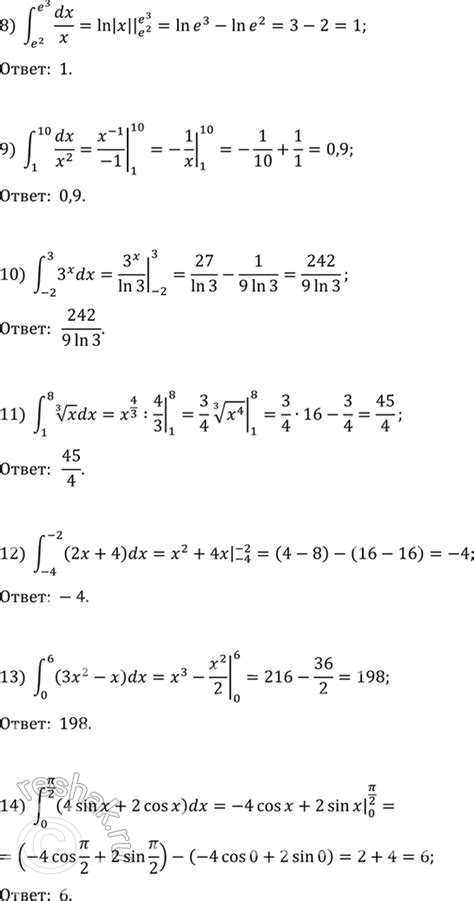
(Решено)Упр.11.32 ГДЗ Мерзляк 11 класс по алгеб...
(Решено)Упр.26.11 ГДЗ Мерзляк 11 класс по алгеб...
номер 11 (страница 146) гдз по геометрии 11 кла...
(Решено)Упр.11.22 ГДЗ Мерзляк 11 класс по алгеб...
Геометрия. 11 класс. Учебник - Мерзляк, Номиров...
(Решено)Упр.11.10 ГДЗ Мерзляк 11 класс по алгеб...
(Решено)Упр.6.29 ГДЗ Мерзляк 11 класс по алгебр...
(Решено)Упр.15.16 ГДЗ Мерзляк 11 класс по алгеб...
(Решено)Упр.11.1 ГДЗ Мерзляк 11 класс по алгебр...
(Решено)Упр.7.25 ГДЗ Мерзляк 11 класс по алгебр...
Геометрия. 11 класс. Методическое пособие. Углу...
(Решено)Упр.3.15 ГДЗ Мерзляк 11 класс по алгебр...
(Решено)Упр.11.5 ГДЗ Мерзляк 11 класс по алгебр...
номер 17 (страница 40) гдз по геометрии 11 клас...
(Решено)Упр.15.10 ГДЗ Мерзляк 11 класс по алгеб...
(Решено)Упр.11.31 ГДЗ Мерзляк 11 класс по алгеб...
номер 15 (страница 65) гдз по геометрии 11 клас...
Геометрія. 11 клас. Профільний рівень. Підручни...
(Решено)Упр.13.37 ГДЗ Мерзляк 11 класс по алгеб...
(Решено)Упр.11.3 ГДЗ Мерзляк 11 класс по алгебр...
ФГОС. Математика. Геометрия. Углубленный уровен...
(Решено)Упр.2.34 ГДЗ Мерзляк 11 класс по алгебр...
номер 15 (страница 95) гдз по геометрии 11 клас...
(Решено)Упр.13.25 ГДЗ Мерзляк 11 класс по алгеб...