ГДЗ Номер 518 Алгебра 7 класс Бунимович | Гаран...
Алгебра 7 класс - Алимов Ш.А. и др. » Читать ил...
ГДЗ Номер 477 Алгебра 7 класс Бунимович | Гаран...
Скачать Учебник Алгебра 7 Класс Виленкин Торрен...
ГДЗ Номер 455 Алгебра 7 класс Бунимович | Гаран...
Алгебра. 7 класс. Учебник - Алимов Ш.А. » Класс...
ГДЗ Алгебра 7 класс учебник Никольский ответы о...
Учебник алгебра 7 класс Мерзляк А.Г., Полонский...
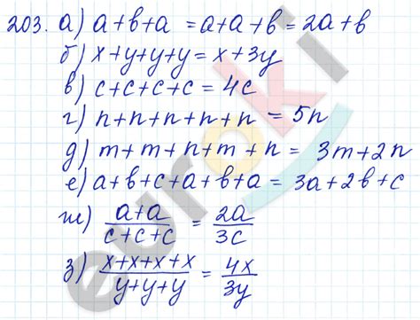
ГДЗ Номер 203 Алгебра 7 класс Бунимович | Гаран...
ГДЗ Номер 520 Алгебра 7 класс Бунимович | Учебник
Учебник алгебра 7 класс фото — купить по низкой...
«Алгебра. 7 класс», Н. Г. Миндюк – скачать pdf ...
ГДЗ: Алгебра 7 класс Бунимович, Кузнецова, Мина...
Учебник алгебра 7 класс Алимов — скачать электр...
Учебник По Алгебре 7 Класс Мордкович Онлайн - e...
ГДЗ Номер 233 Алгебра 7 класс Бунимович | Гаран...
Алгебра 7 класс. Самостоятельные работы - Алекс...
Алгебра. 7 класс. Учебник | Шевкин Александр Вл...
ГДЗ Номер 357 Алгебра 7 класс Бунимович | Гаран...
Алгебра. 7 клас – скачать бесплатно на aversev.by
ГДЗ по алгебре 7 класс
ГДЗ Алгебра 7 класс Бунимович, Кузнецова, Минае...
О. В. Муравина, Алгебра. 7 класс – читать онлай...
Алгебра 7 КЛАСС (Макарычев, Миндюк, Муравин, Су...
ГДЗ Номер 275 Алгебра 7 класс Бунимович | Гаран...
Купить учебник по алгебре 7 класс — купить по н...
Учебники окулыктар Казахстан Алгебра онлайн
Учебник По Алгебре 7 Класс Мордкович - regulati...
Алгебра. 7 класс. Учебник - купить с доставкой ...
ГДЗ Номер 25 Алгебра 7 класс Бунимович | Гарант...
Решебник Алгебра 7 Класс Г П Бевз - relizuacharter
ГДЗ по алгебре 7 класс Бунимович Учебник Сферы ...
Скачать Учебник. Алгебра. 7 класс. КШ - | Bizdi...
ГДЗ по алгебре 7 класс Мордкович, задачник 1, 2...
ГДЗ Номер 18 Алгебра 7 класс Бунимович | Гарант...