Разъем/колодка реле 5 контактов 12/24V комплект...
Реле 5 вольт
Реле 5А
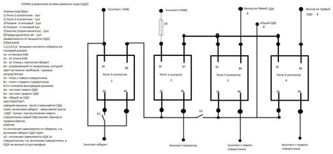
Реле 5 пин схема подключения
Как подключить 5 контактное реле: 5 Контактное ...
5 Контактное Реле Схема Подключения - tokzamer.ru
Купить Реле 5-контактное с клеммником для ГБО в...
Модуль реле (5V) с выбором уровня сигнала | Amp...
4-канальный модуль реле (5 В) с выбором уровня ...
Реле 5-ти контактное
⭐ Реле АЛ-5. Низкие цены. На складе в наличии.
5 Контактное Реле – купить в интернет-магазине ...
Реле 5 контактов 24В ДК 901.3747 – купить на ДЕ...
Почему контакты на реле так странно пронумерова...
Двухканальное реле 5В с опторазвязкой - купить ...
Реле 5 контактное 12в схема подключения
5 контактное реле схема: Схема работы 5 контакт...
Реле постоянного тока на 5 вольт
Модуль реле 5V 4 канала
Реле 5-контактное 12V, новый, в наличии. Цена: ...
Как работает 5 ти контактное реле: Схема работы...
Модуль 1 канального реле 5в
Электромагнитное реле 5В 10А с перекидным конта...
Как подключить Реле 4-х,5-и контактное.Для чего...
بسته 5 عددی رله دو کانال 5 ولت
5-Relay-Module – LetsMakeRobot