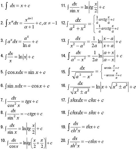
4. Таблица основных интегралов
рыжик и градштейн: avva — LiveJournal
Полная Таблица Интегралов Для Студентов - musttips
Таблицы интегралов, сумм, рядов и произведений ...
Таблицы интегралов и другие математические форм...
Учебник Демидовича Таблица Интегралов - catalog...
Студентам. Учим таблицу интегралов - YouTube
Таблица интегралов
Интегралы из справочника Градштейн Рыжик
Таблица Определенных Интегралов - agentsdirection
Медиа Портал >> Математический анализ >> Таблиц...
Вопрос 14.
Правило «трех сигм»
Таблица основных интегралов
Таблица интегралов (неопределенных и т.д.)
Список интегралов элементарных функций — Википедия
Презентация на тему: "План лекции 1)Интегрирова...
Таблицы интегралов, сумм, рядов и прозведений |...
Интегралы от иррациональных функций, таблица ин...
Народ.Ру: Таблица интегралов
Таблица интегралов. Таблица неопределенных инте...
Меня порадовала и тронула запись в Твиттере аме...
Статистические таблицы. Графическое изображение...
HA indefinable: полная таблица интегралов